FIP606-Proyecto: Análisis Exploratorio

Published

July 3, 2024

Preparación Base de Datos

  • Cargar paquetes de análisis

Codigo
library(tidyverse)
library(gsheet)
library(cowplot)
library(patchwork)
library(ggthemes)
library(viridis)
library(epifitter)
library(ggplot2)
library("writexl")
library(nlme)
library(lme4)
library(DHARMa)
library(performance)
library(report)
library(emmeans)
library(multcompView)
library(multcomp)
library(corrplot)
library(see)
library(lubridate)
library(agridat)
library(cowplot)
library(agricolae)
library(sf)
library(lme4)
library(broom)
library(lattice)
library(car)
library(scales)
library(readxl)
library(dplyr)
library(knitr)
library(kableExtra)
library(easyanova)
library(tidyr)
library(PerformanceAnalytics)
library(magrittr)
library(car)
library(ggpubr)
library(rstatix)
library(reshape)
library(kableExtra)
library(formattable)
library(sjPlot)
library(sjlabelled)
library(sjmisc)
library(ggh4x)
library(gridExtra)
library(stringr)
library(epiR)
library(ggridges)
library(RColorBrewer)
library(DT)
library(gsheet)
  • Ajustar fecha como factor

Codigo
DB_original <- read_excel("DB_floración_01.xlsx")

# Convertir la columna de fecha a formato POSIXct
DB_original$Fecha <- as.POSIXct(DB_original$Fecha, format = "%Y-%m-%dT%H:%M:%SZ", tz = "UTC") 
  
# Convertir la columna de fecha a factor
DB_original$Fecha <- as.factor(DB_original$Fecha)

DB_original |> 
            DT::datatable(
            extensions = 'Buttons', 
            options = list(dom = 'Bfrtip', 
            buttons = c('excel', "csv")))  
  • Contar hojas con Roya y severidad total

Codigo
# Seleccionar las columnas cuyo encabezado comienza con "S"
Hojas_Roya <- DB_original |>  
          select(starts_with("S"))

# Convertir las columnas seleccionadas a numéricas
Hojas_Roya<- Hojas_Roya |> 
              mutate(across(everything(), as.numeric))

# Crear una nueva columna que cuente cuántas columnas "S" tienen valores (no NA)
DB_original$Hojas_Roya <- rowSums(!is.na(Hojas_Roya))

# Crear una nueva columna que sume los valores de las columnas "S" por fila
DB_original$Severidad_total <- rowSums(Hojas_Roya, na.rm = TRUE)


DB_original |> 
            DT::datatable(
            extensions = 'Buttons', 
            options = list(dom = 'Bfrtip', 
            buttons = c('excel', "csv")))     
  • Asignar Tto al árbol

Usar la funcion Mutate para crear nuevas columnas para crear una categoria para agrupar los arboles por tratamiento

Codigo
# Asignar nombres en función del rango de la columna Arbol
DB_original <- DB_original %>%
                  mutate(Parcela = case_when(
                    Arbol >= 1 & Arbol <= 80 ~ "Tto Fungicida",
                    Arbol >= 81 & Arbol <= 160 ~ "Tto Nuevo",
                    Arbol >= 161 & Arbol <= 240 ~ "Tto Testigo SA",
                    TRUE ~ NA_character_  # Asignar NA para valores fuera de los rangos especificados
                  ))


DB_original |> 
            DT::datatable(
            extensions = 'Buttons', 
            options = list(dom = 'Bfrtip', 
            buttons = c('excel', "csv")))    
  • Calcular Incidencia, severidad , defoliación

Codigo
DB_original <- DB_original |> 
                  mutate(Incidencia = ((Nudos*2)/Hojas_Roya),
                         Severidad = (Severidad_total/Hojas_Roya),
                         Defoliacion = ( 100-((HP*100) / (Nudos*2))))



DB_original |> 
            DT::datatable(
            extensions = 'Buttons', 
            options = list(dom = 'Bfrtip', 
            buttons = c('excel', "csv"))) 
  • Crear Base de datos

Codigo
DB_analisis <-DB_original |> 
                  select(Fecha,Parcela,Arbol,Rama,Nudos,Incidencia,Severidad,Defoliacion)

DB_analisis |> 
            DT::datatable(
            extensions = 'Buttons', 
            options = list(dom = 'Bfrtip', 
            buttons = c('excel', "csv")))  |> 
                            formatRound(c('Incidencia','Severidad','Defoliacion'), 2)

Preparación de la Base de datos Final

Codigo
dat<-read.csv2("DB_PAT104022.csv")

dat |> 
  DT::datatable(
    extensions = 'Buttons', 
    options = list(dom = 'Bfrtip', 
                   Buttons = c('excel', "csv"))) |> 
                        formatRound(c('Inc_promedio','Def_calculada','Sev_total','Severidad','Sev_condicional'), 2)

Uso de la funcion select para convertir una tabla resumida

Codigo
CLR_ <-dat |> 
      select(Evaluacion,Time_,Time_E,Eva_E,Eva_,Parcela,Surco,Arbol_1,Arbol,Rep,Htotal,Inc_promedio,Def_calculada,Severidad,Sev_condicional)

CLR_ |> 
  DT::datatable(
    extensions = 'Buttons', 
    options = list(dom = 'Bfrtip', 
                   Buttons = c('excel', "csv")))

Evaluaciones

  • Evaluacion 1 = (Mitaca_2021) Historico Sep/21
  • Evaluacion 2 = (Principal_2022) Feb/22
  • Evaluacion 3 = (Mitaca_2022) Floración Sep/22

Tratamientos

  • Parcela =
    • 1-Tto Fungicida
    • 2- Tto Fungicida Nuevo
    • 3- Tto Testigo SA (Sin aplicación)

Variables

  • Arbol= 1- 80
  • Rep= 1-3
  • Nudos = Número de nudos totales
  • Htotal = Número de hojas totales presentes
  • Htotal_t= Número de hojas totales teóricas (Nudos X 2)
  • Inc_promedio = Porcentaje de hojas afectados por roya
  • Def_calculada = Porcentaje de hojas faltantes en cada rama a partir de la marcación inicial y su conteo progresivo
  • Sev_total = Sumatoria de valores de severidad de todas las hojas afectadas por la enfermedad
  • Severidad = Proporcion de severidad total (sev_total) / Número de hojas totales presentes (Htotal)
  • Sev_condicional = Proporcion de severidad total (sev_total) / Número de hojas afectadas por la enfermedad (Hroya)
  • Tx_Def = (% de hojas que caen/día) = 0.0144 x incidencia

Análisis Exploratorios

  • Visualización de Datos

  • Evaluación por fecha

Comportamiento de las variables evaluadas sobre cada parcela en cada parcela de validación a través del tiempo.

  • Database

Codigo
dat_ave<- CLR_ |> 
             group_by(Evaluacion,Time_,Time_E,Eva_E,Eva_,Parcela,Surco,Arbol_1,Arbol)|> 
             summarize(
              Htotal= mean(Htotal,na.rm=TRUE),
              Incidencia = mean(Inc_promedio,na.rm=TRUE),
              Severidad = mean(Severidad,na.rm=TRUE), 
              Defoliacion = mean(Def_calculada,na.rm=TRUE))

dat_ave %>%
  DT::datatable(
    extensions = 'Buttons', 
    options = list(dom = 'Bfrtip', 
                   Buttons = c('excel', "csv")))%>%
                        formatRound(c('Htotal','Incidencia','Severidad','Defoliacion'), 2)
  • Evaluación (Tiempo)

Codigo
Incidencia<-dat_ave %>%
                ggplot(aes(Arbol_1,Surco,label = Arbol))+
                geom_point(size = 5,shape=10,stroke = 1)+
                geom_point(size = 5,alpha=1, aes(colour= Incidencia))+
                scale_colour_distiller(palette =  "Spectral",direction = -1,limits = c(0,100)) +
                 scale_y_discrete(limits=c("J","I","H","G","F","E","D","C","B","A"))+
                scale_x_discrete(limits=c("1","2","3","4","5","6","7","8","9","10","11","12"),guide = guide_axis(position = "top")) +
                 facet_wrap(Parcela~Time_,ncol=9) +
                theme_clean() +
                theme(axis.text.x=element_blank(), #remove x axis labels
                      axis.ticks.x=element_blank(), #remove x axis ticks
                      axis.text.y=element_blank(),  #remove y axis labels
                      axis.ticks.y=element_blank(),  #remove y axis ticks
                      legend.title = element_text( face="bold",size = 20),
                      strip.text = element_text(size =15,face = "bold"),
                      plot.title = element_text(size =30,face="bold"),
                      plot.subtitle = element_text(size = 20),
                      plot.background = element_rect(colour = "white"),
                    legend.background = element_rect(colour = "white"),
                    legend.text = element_text(size = 15,face = c(rep("italic", 2), rep("plain", 2))),legend.position = "none") +
                geom_text(size = 3,alpha=.9)+
                labs(title = "A.Evaluación de Incidencia",x="Tiempo (ddfp)",y="Parcelas (Tratamientos)",
                     subtitle ="",caption ="")

Incidencia

Codigo
Severidad<-dat_ave  %>%
            ggplot(aes(Arbol_1,Surco,label = Arbol))+
            geom_point(size = 5,shape=10,stroke = 1)+
            geom_point(size = 5,alpha=1, aes(colour= Severidad))+
            scale_colour_distiller(palette =  "Spectral",direction = -1,limits = c(0,5)) +
             scale_y_discrete(limits=c("J","I","H","G","F","E","D","C","B","A"))+
            scale_x_discrete(limits=c("1","2","3","4","5","6","7","8","9","10","11","12"),guide = guide_axis(position = "top")) +
             facet_wrap(Parcela~Time_,ncol=9) +
            theme_clean() +
            theme(axis.text.x=element_blank(), #remove x axis labels
                      axis.ticks.x=element_blank(), #remove x axis ticks
                      axis.text.y=element_blank(),  #remove y axis labels
                      axis.ticks.y=element_blank(),  #remove y axis ticks
                      legend.title = element_text( face="bold",size = 20),
                      strip.text = element_text(size =15,face = "bold"),
                      plot.title = element_text(size =30,face="bold"),
                      plot.subtitle = element_text(size = 20),
                      plot.background = element_rect(colour = "white"),
                    legend.background = element_rect(colour = "white"),
                    legend.text = element_text(size = 15,face = c(rep("italic", 2), rep("plain", 2))),legend.position = "none") +
                geom_text(size = 3,alpha=.9)+
                labs(title = "A.Evaluación de Severidad",x="Tiempo (ddfp)",y="Parcelas (Tratamientos)",
                     subtitle ="",caption ="")


Severidad

Codigo
Defoliacion<-dat_ave  %>%
            ggplot(aes(Arbol_1,Surco,label = Arbol))+
            geom_point(size = 5,shape=10,stroke = 1)+
            geom_point(size = 5,alpha=1, aes(colour= Defoliacion))+
            scale_colour_distiller(palette =  "Spectral",direction = -1,limits = c(0,100)) +
             scale_y_discrete(limits=c("J","I","H","G","F","E","D","C","B","A"))+
            scale_x_discrete(limits=c("1","2","3","4","5","6","7","8","9","10","11","12"),guide = guide_axis(position = "top")) +
             facet_wrap(Parcela~Time_,ncol=9) +
            theme_clean() +
            theme(axis.text.x=element_blank(), #remove x axis labels
                      axis.ticks.x=element_blank(), #remove x axis ticks
                      axis.text.y=element_blank(),  #remove y axis labels
                      axis.ticks.y=element_blank(),  #remove y axis ticks
                      legend.title = element_text( face="bold",size = 20),
                      strip.text = element_text(size =15,face = "bold"),
                      plot.title = element_text(size =30,face="bold"),
                      plot.subtitle = element_text(size = 20),
                      plot.background = element_rect(colour = "white"),
                    legend.background = element_rect(colour = "white"),
                    legend.text = element_text(size = 15,face = c(rep("italic", 2), rep("plain", 2))),legend.position = "none") +
                geom_text(size = 3,alpha=.9)+
                labs(title = "A.Evaluación de Defoliación",x="Tiempo (ddfp)",y="Parcelas (Tratamientos)",
                     subtitle ="",caption ="")

Defoliacion

  • Evaluación (Dinámica)

Codigo
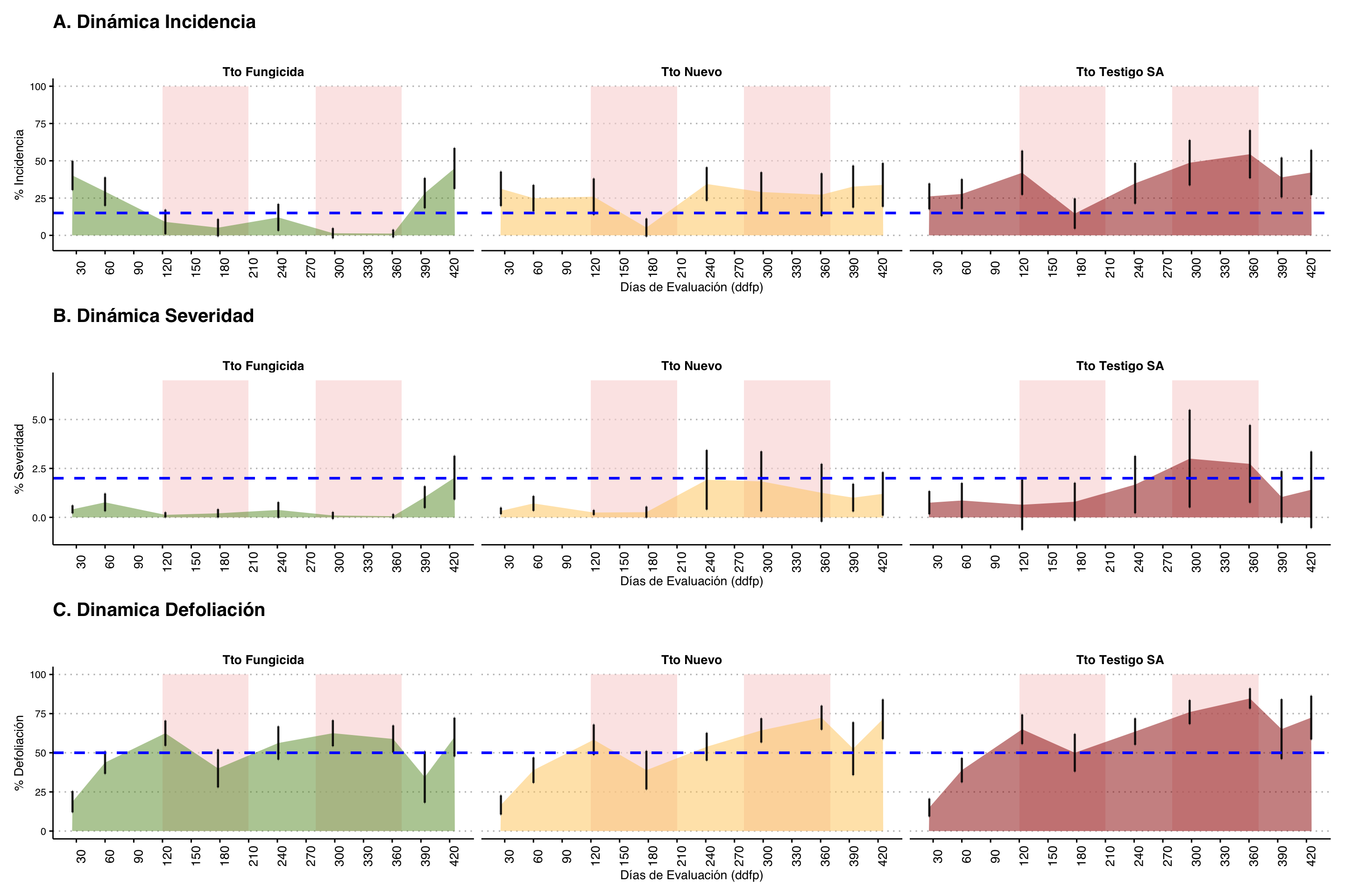
Plot1a<-dat %>%
            group_by(Time_,Parcela)%>%
            summarise(Incidencia=mean(Inc_promedio,na.rm=TRUE),sd=sd(Inc_promedio,na.rm=TRUE))%>%
            mutate( se = sd / sqrt(length(Incidencia)))%>% 
            ggplot(aes(Time_,Incidencia, fill  = Parcela, group= Parcela)) +
            geom_rect(aes(xmin = 120 , xmax = 210, ymin = 0, ymax =100),fill = "#f7d8d8",alpha= 0.1) +
            geom_rect(aes(xmin = 280 , xmax = 370, ymin = 0, ymax =100),fill = "#f7d8d8",alpha= 0.1) +
            geom_area(position=position_identity(),alpha= 0.5)+
            geom_errorbar(aes(ymin=Incidencia-se, ymax=Incidencia+se), width=0.4, alpha=0.9, size=.8,position=position_dodge(0.05))+
            geom_hline(yintercept=15,linetype="dashed", color = "blue",size=1) +
            facet_wrap(~Parcela,ncol =3) +
            theme_clean() +
            theme(axis.text = element_text(size = 8),
                  axis.text.x = element_text( size =10,angle = 90),
                  axis.title = element_text(size = 10),
                  strip.text.x=element_text(face="bold",size =10,margin=margin(1,0,1,0)),
                  plot.background = element_rect(colour = "white"),
                  legend.background = element_rect(colour = "white"),
                  legend.title = element_text( face="bold",size = 10),
                  legend.text = element_text( size = 10),
                  plot.title = element_text(size = 15,face="bold"),
                  plot.subtitle = element_text(size = 15),
                  legend.position = "none" )  +
            scale_fill_manual(values = c( "Tto Fungicida"="#669933", "Tto Nuevo"="#FFCC66","Tto Testigo SA"="#990000"))+ 
             scale_x_continuous(breaks=c(0,30,60,90,120,150,180,210,240,270,300,330,360,390,420,450))+
            ylim(-5, 100) +
            labs(
              fill = "Tratamiento", x = "Días de Evaluación (ddfp)",
              y = "% Incidencia",
              title = "A. Dinámica Incidencia",subtitle =""
            )
Codigo
Plot2a<-dat %>%
            group_by(Time_,Parcela)%>%
            summarise(Severidad=mean(Sev_condicional,na.rm=TRUE),sd=sd(Sev_condicional,na.rm=TRUE))%>%
            mutate( se = sd / sqrt(length(Severidad)))%>% 
            ggplot(aes(Time_,Severidad, fill  = Parcela, group= Parcela)) +
            geom_rect(aes(xmin = 120 , xmax = 210, ymin = 0, ymax =7),fill = "#f7d8d8",alpha= 0.1) +
            geom_rect(aes(xmin = 280 , xmax = 370, ymin = 0, ymax =7),fill = "#f7d8d8",alpha= 0.1) +
            geom_area(position=position_identity(),alpha= 0.5)+
            geom_errorbar(aes(ymin=Severidad-se, ymax=Severidad+se), width=0.4, alpha=0.9, size=.8,position=position_dodge(0.05))+
            geom_hline(yintercept=2,linetype="dashed", color = "blue",size=1) +
            facet_wrap(~Parcela,ncol =3) +
            theme_clean() +
            theme(axis.text = element_text(size = 8),
                  axis.text.x = element_text( size =10,angle = 90),
                  axis.title = element_text(size = 10),
                  strip.text.x=element_text(face="bold",size =10,margin=margin(1,0,1,0)),
                  plot.background = element_rect(colour = "white"),
                  legend.background = element_rect(colour = "white"),
                  legend.title = element_text( face="bold",size = 10),
                  legend.text = element_text( size = 10),
                  plot.title = element_text(size = 15,face="bold"),
                  plot.subtitle = element_text(size = 15),
                  legend.position = "none" )  +
            scale_fill_manual(values = c( "Tto Fungicida"="#669933", "Tto Nuevo"="#FFCC66","Tto Testigo SA"="#990000"))+ 
            scale_x_continuous(breaks=c(0,30,60,90,120,150,180,210,240,270,300,330,360,390,420,450))+
            ylim(-1, 7) +
            labs(
              fill = "Tratamiento", x = "Días de Evaluación (ddfp)",
              y = "% Severidad",
              title = "B. Dinámica Severidad",subtitle =""
            )
Codigo
Plot3a<-dat %>%
            group_by(Time_,Parcela)%>%
            summarise(Defoliacion= median(Def_calculada,na.rm=TRUE),sd=sd(Def_calculada,na.rm=TRUE))%>%
            mutate( se = sd / sqrt(length(Defoliacion)))%>% 
            ggplot(aes(Time_,Defoliacion, fill  = Parcela, group= Parcela)) +
            geom_rect(aes(xmin = 120 , xmax = 210, ymin = 0, ymax =100),fill = "#f7d8d8",alpha= 0.1) +
            geom_rect(aes(xmin = 280 , xmax = 370, ymin = 0, ymax =100),fill = "#f7d8d8",alpha= 0.1) +
            geom_area(position=position_identity(),alpha= 0.5)+
            geom_errorbar(aes(ymin=Defoliacion-se, ymax=Defoliacion+se), width=0.4, alpha=0.9, size=.8,position=position_dodge(0.05))+
            geom_hline(yintercept=50,linetype="dashed", color = "blue",size=1) +
            facet_wrap(~Parcela,ncol =3) +
            theme_clean() +
            theme(axis.text = element_text(size = 8),
                  axis.text.x = element_text( size =10,angle = 90),
                  axis.title = element_text(size = 10),
                  strip.text.x=element_text(face="bold",size =10,margin=margin(1,0,1,0)),
                  plot.background = element_rect(colour = "white"),
                  legend.background = element_rect(colour = "white"),
                  legend.title = element_text( face="bold",size = 10),
                  legend.text = element_text( size = 10),
                  plot.title = element_text(size = 15,face="bold"),
                  plot.subtitle = element_text(size = 15),
                  legend.position = "none" )  +
            scale_fill_manual(values = c( "Tto Fungicida"="#669933", "Tto Nuevo"="#FFCC66","Tto Testigo SA"="#990000"))+ 
            scale_x_continuous(breaks=c(0,30,60,90,120,150,180,210,240,270,300,330,360,390,420,450))+
            ylim(0, 100) +
            labs(
              fill = "Tratamiento", x = "Días de Evaluación (ddfp)",
              y = "% Defoliación",
              title = "C. Dinamica Defoliación",subtitle =""
            )
Codigo
Plot_Lote<- (Plot1a + Plot2a + Plot3a +  plot_layout(ncol = 1))
Plot_Lote

Codigo
#ggexport(Plot_Lote,filename = "Fig1_MQR104024_Dinamic-_lote_full.pdf", width = 25 , height = 15)
  • Dispersión (Incidencia)

Codigo
library(ggthemes)

dat_ave |>
  ggplot(aes(Eva_, Incidencia, color = Parcela))+
  geom_rect(aes(xmin = 4 , xmax = 7, ymin = 0, ymax =100),fill = "#f7d8d8",alpha = 0.3,color = NA) +
  geom_rect(aes(xmin = 9 , xmax = 12, ymin = 0, ymax =100),fill = "#f7d8d8",alpha = 0.3,color = NA) +
  geom_jitter(size=2,alpha=0.3)+
  geom_hline(yintercept=30,linetype="dashed", color = "blue",size=1) +
  stat_summary(fun.data = mean_se,size=.2,
               color = "black")+
  theme_clean()+
  theme(axis.text = element_text(size = 8),
                  axis.text.x = element_text( size =10),
                  axis.title = element_text(size = 10),
                  strip.text.x=element_text(face="bold",size =10,margin=margin(1,0,1,0)),
                  plot.background = element_rect(colour = "white"),
                  legend.background = element_rect(colour = "white"),
                  legend.title = element_text( face="bold",size = 10),
                  legend.text = element_text( size = 10),
                  plot.title = element_text(size = 15,face="bold"),
                  plot.subtitle = element_text(size = 15),
                  legend.position = "none" ) +
  scale_color_manual(values = c( "#669933","#FFCC66","#990000"))+ 
  facet_wrap(~Parcela, nrow = 3,)+
  ylim(0,100)+
  scale_x_continuous(breaks = seq(from = 1, to = 15, by = 1))+
  labs(
              x = "Evaluaciónes",
              y = "% Incidencia",
              title = "A. Dispersión Incidencia",subtitle =""
            )

  • Dispersión (Severidad)

Codigo
dat_ave |>
  ggplot(aes(Eva_, Severidad, color = Parcela))+
  geom_rect(aes(xmin = 4 , xmax = 7, ymin = 0, ymax =10),fill = "#f7d8d8",alpha = 0.1,color = NA) +
  geom_rect(aes(xmin = 9 , xmax = 12, ymin = 0, ymax =10),fill = "#f7d8d8",alpha = 0.1,color = NA) +
  geom_jitter(size=2,alpha=0.3)+
  geom_hline(yintercept=5,linetype="dashed", color = "blue",size=1) +
  stat_summary(fun.data = mean_se,size=.2,
               color = "black")+
  theme_clean()+
  theme(axis.text = element_text(size = 8),
                  axis.text.x = element_text( size =10),
                  axis.title = element_text(size = 10),
                  strip.text.x=element_text(face="bold",size =10,margin=margin(1,0,1,0)),
                  plot.background = element_rect(colour = "white"),
                  legend.background = element_rect(colour = "white"),
                  legend.title = element_text( face="bold",size = 10),
                  legend.text = element_text( size = 10),
                  plot.title = element_text(size = 15,face="bold"),
                  plot.subtitle = element_text(size = 15),
                  legend.position = "none" ) +
  scale_color_manual(values = c( "#669933","#FFCC66","#990000"))+ 
  facet_wrap(~Parcela, nrow = 3,)+
  ylim(0,10)+
  scale_x_continuous(breaks = seq(from = 1, to = 15, by = 1))+
  labs(
              x = "Evaluaciónes",
              y = "% Severidad",
              title = "B. Dispersión Severidad",subtitle =""
            )

  • Dispersión (Defoliación)

Codigo
dat_ave |>
  ggplot(aes(Eva_, Defoliacion, color = Parcela))+
  geom_rect(aes(xmin = 4 , xmax = 7, ymin = 0, ymax =100),fill = "#f7d8d8",alpha = 0.1,color = NA) +
  geom_rect(aes(xmin = 9 , xmax = 12, ymin = 0, ymax =100),fill = "#f7d8d8",alpha = 0.1,color = NA) +
  geom_jitter(size=2,alpha=0.3)+
  geom_hline(yintercept=50,linetype="dashed", color = "blue",size=1) +
  stat_summary(fun.data = mean_se,size=.2,
               color = "black")+
  theme_clean()+
  theme(axis.text = element_text(size = 8),
                  axis.text.x = element_text( size =10),
                  axis.title = element_text(size = 10),
                  strip.text.x=element_text(face="bold",size =10,margin=margin(1,0,1,0)),
                  plot.background = element_rect(colour = "white"),
                  legend.background = element_rect(colour = "white"),
                  legend.title = element_text( face="bold",size = 10),
                  legend.text = element_text( size = 10),
                  plot.title = element_text(size = 15,face="bold"),
                  plot.subtitle = element_text(size = 15),
                  legend.position = "none" ) +
  scale_color_manual(values = c( "#669933","#FFCC66","#990000"))+ 
  facet_wrap(~Parcela, nrow = 3,)+
  ylim(0,100)+
  scale_x_continuous(breaks = seq(from = 1, to = 15, by = 1))+
  labs(
              x = "Evaluaciónes",
              y = "% Defoliación",
              title = "C. Dispersión Defoliación",subtitle =""
            )

  • Descriptiva Incidencia (Periodo Critico)

Codigo
CLR_descriptivas_inc <-dat_ave |>
                          filter((Eva_ >= 4 & Eva_ <= 7) | (Eva_ >= 9 & Eva_ <= 12)) |>   
                          group_by(Parcela,Evaluacion) |> 
                          summarise(
                            mean_inc = mean(Incidencia,na.rm=TRUE),
                            sd_inc = sd(Incidencia,na.rm=TRUE),
                            var_inc = var(Incidencia,na.rm=TRUE),
                            n = n(),
                            se_inc = sd_inc / sqrt(n - 1),
                            ci = se_inc * qt(0.05, df = n - 1)
                          )


CLR_descriptivas_inc |> 
                    DT::datatable(
                    extensions = 'Buttons', 
                    options = list(dom = 'Bfrtip', 
                     buttons = c('excel', "csv"))) |> 
                    formatRound(c('mean_inc', 'sd_inc', 'var_inc','se_inc','ci'), 2)
  • Descriptiva Severidad (Periodo Critico)

Codigo
CLR_descriptivas_sev <-dat_ave |>
                          filter((Eva_ >= 4 & Eva_ <= 7) | (Eva_ >= 9 & Eva_ <= 12)) |>   
                          group_by(Parcela,Evaluacion) |> 
                          summarise(
                            mean_sev = mean(Severidad,na.rm=TRUE),
                            sd_sev = sd(Severidad,na.rm=TRUE),
                            var_sev = var(Severidad,na.rm=TRUE),
                            n = n(),
                            se_sev = sd_sev / sqrt(n - 1),
                            ci = se_sev * qt(0.05, df = n - 1)
                          )


CLR_descriptivas_sev |> 
                    DT::datatable(
                    extensions = 'Buttons', 
                    options = list(dom = 'Bfrtip', 
                     buttons = c('excel', "csv"))) |> 
                    formatRound(c('mean_sev', 'sd_sev', 'var_sev','se_sev','ci'), 2)
  • Descriptiva Defoliación(Periodo Critico)

Codigo
CLR_descriptivas_def <-dat_ave |>
                          filter((Eva_ >= 4 & Eva_ <= 7) | (Eva_ >= 9 & Eva_ <= 12)) |>   
                          group_by(Parcela,Evaluacion) |> 
                          summarise(
                            mean_def = mean(Defoliacion,na.rm=TRUE),
                            sd_def = sd(Defoliacion,na.rm=TRUE),
                            var_def = var(Defoliacion,na.rm=TRUE),
                            n = n(),
                            se_def = sd_def / sqrt(n - 1),
                            ci = se_def * qt(0.05, df = n - 1)
                          )


CLR_descriptivas_def |> 
                    DT::datatable(
                    extensions = 'Buttons', 
                    options = list(dom = 'Bfrtip', 
                     buttons = c('excel', "csv"))) |> 
                    formatRound(c('mean_def', 'sd_def', 'var_def','se_def','ci'), 2)
Codigo
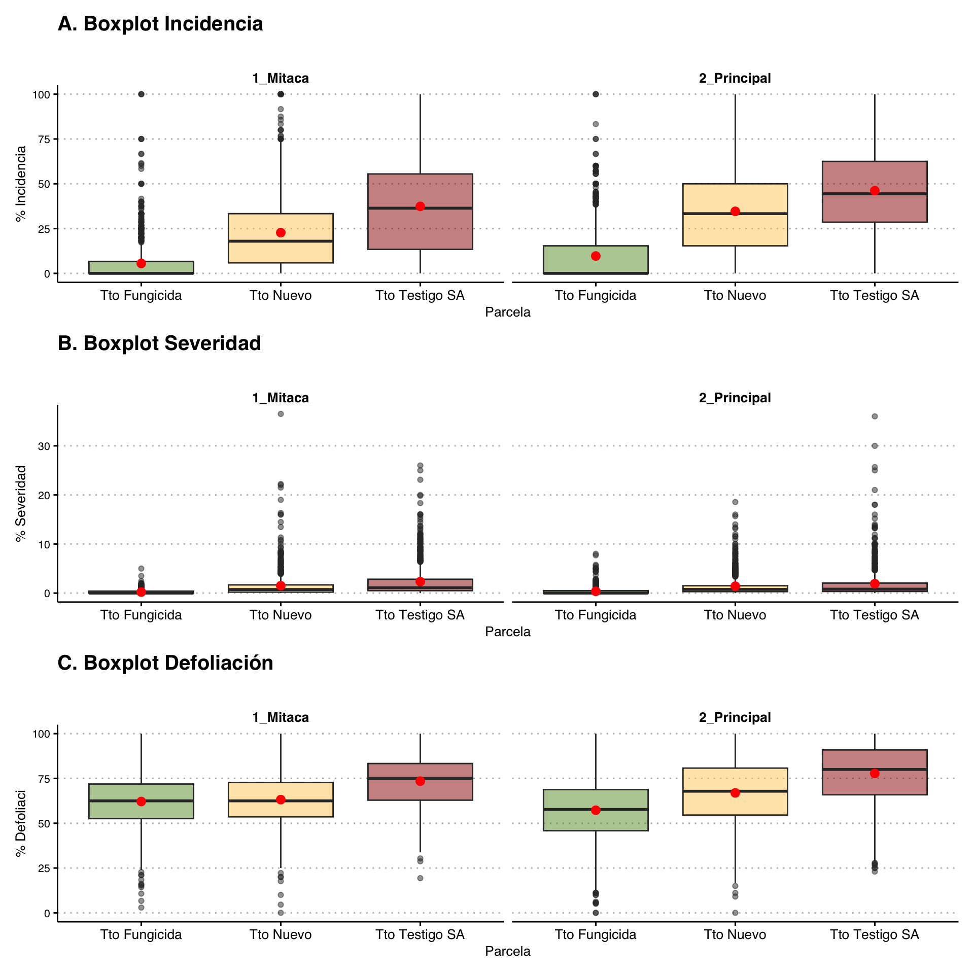
CLR_inc <-CLR_  |>
              filter((Eva_ >= 4 & Eva_ <= 7) | (Eva_ >= 9 & Eva_ <= 12)) |>
              group_by(Arbol) |> 
              ggplot(aes(Parcela, Inc_promedio, fill = Parcela)) +
              geom_boxplot(alpha = .5)+
              stat_summary(fun.data = "mean_se",colour = "red")+
              facet_wrap(~Evaluacion)+
              theme_clean()+
              theme(axis.text = element_text(size = 8),
                  axis.text.x = element_text( size =10),
                  axis.title = element_text(size = 10),
                  strip.text.x=element_text(face="bold",size =10,margin=margin(1,0,1,0)),
                  plot.background = element_rect(colour = "white"),
                  legend.background = element_rect(colour = "white"),
                  legend.title = element_text( face="bold",size = 10),
                  legend.text = element_text( size = 10),
                  plot.title = element_text(size = 15,face="bold"),
                  plot.subtitle = element_text(size = 15),
                  legend.position = "none" ) +
              scale_fill_manual(values = c( "#669933","#FFCC66","#990000"))+ 
              labs(
              y = "% Incidencia",
              title = "A. Boxplot Incidencia",subtitle =""
            )
Codigo
CLR_sev <-CLR_  |>
              filter((Eva_ >= 4 & Eva_ <= 7) | (Eva_ >= 9 & Eva_ <= 12)) |>
              group_by(Arbol) |> 
              ggplot(aes(Parcela, Sev_condicional, fill = Parcela)) +
              geom_boxplot(alpha = .5)+
              stat_summary(fun.data = "mean_se",colour = "red")+
              facet_wrap(~Evaluacion)+
              theme_clean()+
              theme(axis.text = element_text(size = 8),
                  axis.text.x = element_text( size =10),
                  axis.title = element_text(size = 10),
                  strip.text.x=element_text(face="bold",size =10,margin=margin(1,0,1,0)),
                  plot.background = element_rect(colour = "white"),
                  legend.background = element_rect(colour = "white"),
                  legend.title = element_text( face="bold",size = 10),
                  legend.text = element_text( size = 10),
                  plot.title = element_text(size = 15,face="bold"),
                  plot.subtitle = element_text(size = 15),
                  legend.position = "none" ) +
              scale_fill_manual(values = c( "#669933","#FFCC66","#990000"))+ 
              labs(
              y = "% Severidad",
              title = "B. Boxplot Severidad",subtitle =""
            )
Codigo
CLR_def <-CLR_  |>
              filter((Eva_ >= 4 & Eva_ <= 7) | (Eva_ >= 9 & Eva_ <= 12)) |>
              group_by(Arbol) |> 
              ggplot(aes(Parcela, Def_calculada, fill = Parcela)) +
              geom_boxplot(alpha = .5)+
              stat_summary(fun.data = "mean_se",colour = "red")+
              facet_wrap(~Evaluacion)+
              theme_clean()+
              theme(axis.text = element_text(size = 8),
                  axis.text.x = element_text( size =10),
                  axis.title = element_text(size = 10),
                  strip.text.x=element_text(face="bold",size =10,margin=margin(1,0,1,0)),
                  plot.background = element_rect(colour = "white"),
                  legend.background = element_rect(colour = "white"),
                  legend.title = element_text( face="bold",size = 10),
                  legend.text = element_text( size = 10),
                  plot.title = element_text(size = 15,face="bold"),
                  plot.subtitle = element_text(size = 15),
                  legend.position = "none" ) +
              scale_fill_manual(values = c( "#669933","#FFCC66","#990000"))+ 
              labs(
              y = "% Defoliaci",
              title = "C. Boxplot Defoliación",subtitle =""
            )
Codigo
Plot_Boxplot<- (CLR_inc + CLR_sev + CLR_def +  plot_layout(ncol = 1))
Plot_Boxplot

Codigo
#ggexport(Plot_Lote,filename = "Fig1_MQR104024_Dinamic-_lote_full.pdf", width = 25 , height = 15)

Analysis carried out in the FIP606 Copyrigth Gustavo Marin / Gabriela Rivadeneira © 2024

いいですか、私たちの神は主おひとりです。

º